Упр.101 ГДЗ Никольский Потапов 6 класс (Математика)
Решение #1

Рассмотрим вариант решения задания из учебника Никольский, Потапов, Решетников 6 класс, Просвещение:
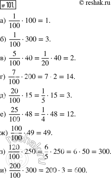
101. Найдите:
а) 1 % от 100; б) 1 % от 300; в) 5 % от 40;
г) 7 % от 200; д) 20 % от 15; е) 25 % от 48;
ж) 100 % от 49; з) 120 % от 250; и) 200 % от 300.
*размещая тексты в комментариях ниже, вы автоматически соглашаетесь с пользовательским соглашением