Упр.23.5 ГДЗ Мордкович Семенов 11 класс (Алгебра)
Решение #1

Рассмотрим вариант решения задания из учебника Мордкович, Семенов, Александрова 11 класс, Просвещение:
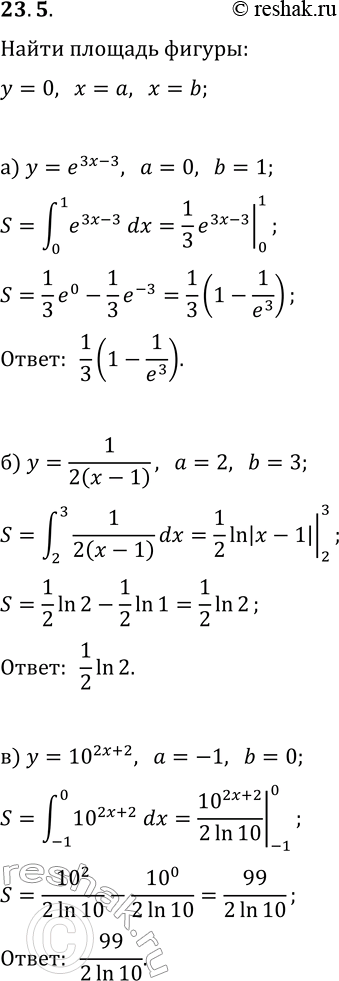
23.5. Найдите площадь криволинейной трапеции, ограниченной прямыми y=0, x=a, x=b и графиком функции y=(x):
а) y=e^(3x-3), a=0, b=1; б) y=1/(2(x-1)), a=2, b=3;
в) y=10^(2x+2), a=-1, b=0; г) y=e^(2x+4), a=-2, b=0;
д) y=1/(3(x+2)), a=-1, b=0; е) y=0,1^(3-x), a=2, b=3.
*размещая тексты в комментариях ниже, вы автоматически соглашаетесь с пользовательским соглашением