Упр.230 ГДЗ Колягин Ткачёва 7 класс (Алгебра)
Решение #1

Рассмотрим вариант решения задания из учебника Колягин, Ткачёва, Фёдорова 7 класс, Просвещение:
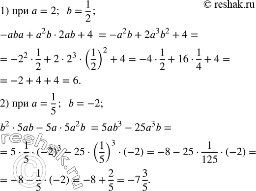
230. Упростить многочлен и найти его значение:
1) -aba+a^2 b•2ab+4 при a=2; b=1/2;
2) b^2•5ab-5a•5a^2 b при a=1/5; b=-2.
*размещая тексты в комментариях ниже, вы автоматически соглашаетесь с пользовательским соглашением