Упр.3.329 ГДЗ Виленкин Жохов 5 класс Часть 1, Просвещение (Математика)

Решение #1

Изображение 3.329. Выполните действия:а) 5 · 2^4 + 7^2;   б) (9^3 - 3^3) : 3^2;   в) 8^3 - 4 · 5^2;   г) 10^4 · (5^3 +...

Решение #2

Изображение 3.329. Выполните действия:а) 5 · 2^4 + 7^2;   б) (9^3 - 3^3) : 3^2;   в) 8^3 - 4 · 5^2;   г) 10^4 · (5^3 +...

Рассмотрим вариант решения задания из учебника Виленкин, Жохов, Александрова 5 класс, Просвещение:
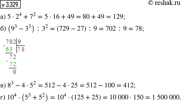
3.329. Выполните действия:
а) 5 · 2^4 + 7^2; б) (9^3 - 3^3) : 3^2; в) 8^3 - 4 · 5^2; г) 10^4 · (5^3 + 5^2).
*Цитирирование задания со ссылкой на учебник производится исключительно в учебных целях для лучшего понимания разбора решения задания.
*размещая тексты в комментариях ниже, вы автоматически соглашаетесь с пользовательским соглашением