Упр.339 ГДЗ Колягин Ткачёва 7 класс (Алгебра)
Решение #1

Рассмотрим вариант решения задания из учебника Колягин, Ткачёва, Фёдорова 7 класс, Просвещение:
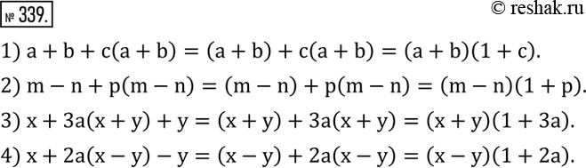
339. Разложить на множители:
1) a+b+c(a+b);
2) m-n+p(m-n);
3) x+3a(x+y)+y;
4) x+2a(x-y)-y.
*размещая тексты в комментариях ниже, вы автоматически соглашаетесь с пользовательским соглашением