Упр.454 ГДЗ Колягин Ткачёва 7 класс (Алгебра)
Решение #1

Рассмотрим вариант решения задания из учебника Колягин, Ткачёва, Фёдорова 7 класс, Просвещение:
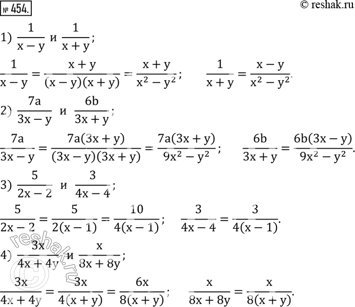
454. Привести дроби к общему знаменателю:
1) 1/(x-y) и 1/(x+y);
2) 7a/(3x-y) и 6b/(3x+y);
3) 5/(2x-2) и 3/(4x-4);
4) 3x/(4x+4y) и x/(8x+8y).
*размещая тексты в комментариях ниже, вы автоматически соглашаетесь с пользовательским соглашением