Упр.499 ГДЗ Колягин Ткачёва 7 класс (Алгебра)
Решение #1

Рассмотрим вариант решения задания из учебника Колягин, Ткачёва, Фёдорова 7 класс, Просвещение:
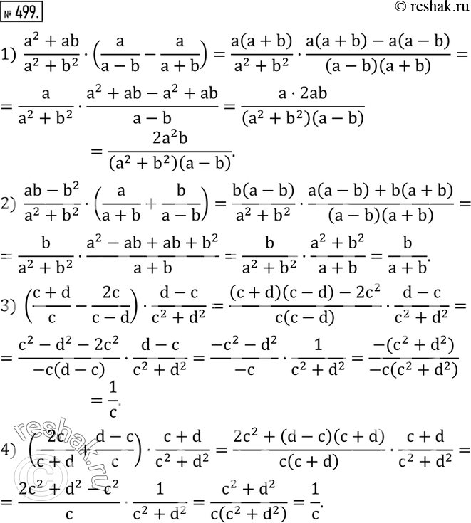
499. Выполнить действия:
1) (a^2+ab)/(a^2+b^2 )•(a/(a-b)-a/(a+b));
2) (ab-b^2)/(a^2+b^2 )•(a/(a+b)+b/(a-b));
3) ((c+d)/c-2c/(c-d))•(d-c)/(c^2+d^2 );
4) (2c/(c+d)+(d-c)/c)•(c+d)/(c^2+d^2 ).
*размещая тексты в комментариях ниже, вы автоматически соглашаетесь с пользовательским соглашением