Упр.92 ГДЗ Колягин Ткачёва 7 класс (Алгебра)
Решение #1

Рассмотрим вариант решения задания из учебника Колягин, Ткачёва, Фёдорова 7 класс, Просвещение:
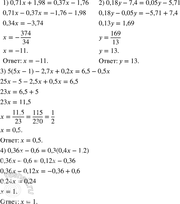
92. Решить уравнение:
1) 0,71x+1,98=0,37x-1,76;
2) 0,18y-7,4=0,05y-5,71;
3) 5(5x-1)-2,7x+0,2x=6,5-0,5x;
4) 0,36x-0,6=0,3(0,4x-1,2).
*размещая тексты в комментариях ниже, вы автоматически соглашаетесь с пользовательским соглашением