Вводные упражнения 22 ГДЗ Колягин Ткачёва 7 класс (Алгебра)
Решение #1

Рассмотрим вариант решения задания из учебника Колягин, Ткачёва, Фёдорова 7 класс, Просвещение:
1. Найти значение выражения a^2, если a равно: 8; -7; 1 2/3; -0,9.
2. Заполнить пропуск одночленом стандартного вида:
1) 6ab=2•?; 2)-10x^2 y=2•?; 3) 17xy^3=2•?;
4) 0,1ab=2•?; 5) 12x^2 y=3•?; 6) mn^2=3•?.
3. Записать в виде квадрата одночлена:
1) m^12; 2) n^6; 3) 9a^2 b^4; 4) 16x^6 y^10.
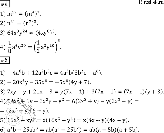
4. Записать в виде куба одночлена:
1) m^12; 2) n^21; 3) 64x^3 y^24; 4) 1/8 a^6 y^30.
5. Разложить на множители:
1)-4a^8 b+12a^2 b^3 c; 2)-20x^6 y-35x^6;
3) 7xy-y+21x-3; 4) 12x^2+6y-2x^2 y-y^2;
5) 16x^3-xy^2; 6) a^3 b-25ab^3.
*размещая тексты в комментариях ниже, вы автоматически соглашаетесь с пользовательским соглашением