Упр.130 ГДЗ Алимов 10-11 класс (Алгебра)
Решение #1
Решение #2

Рассмотрим вариант решения задания из учебника Алимов, Колягин, Ткачёва 10 класс, Просвещение:
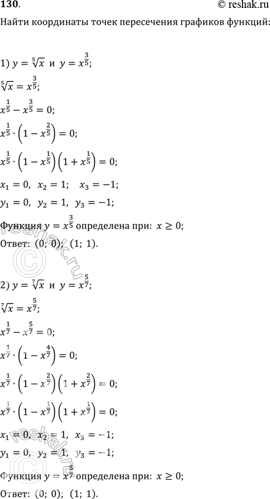
130. Найти координаты точки пересечения графиков функций:
1) у = корень 5 степени x и у = х3/5 ;
2) у = корень 7 степени х и у=х5/7.
*размещая тексты в комментариях ниже, вы автоматически соглашаетесь с пользовательским соглашением