Упр.32 ГДЗ Алимов 10-11 класс (Алгебра)
Решение #1
Решение #2

Рассмотрим вариант решения задания из учебника Алимов, Колягин, Ткачёва 10 класс, Просвещение:
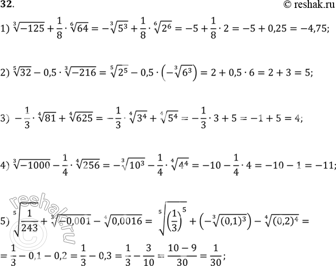
32. Вычислить (32-36).
1) корень 3 степени -125 +1/8* корень 6 степени 64;
2) корень 5 степени 32 - 0,5* корень 3 степени 216;
3) -1/3* корень 4 степени 81 + корень 4 степени 625;
4) корень 3 степени -1000 - 1/4 * корень 4 степени * 256;
5) корень 5 степени 1/243 + корень 3 степени -0,001 - корень 4 степени 0,0016.
*размещая тексты в комментариях ниже, вы автоматически соглашаетесь с пользовательским соглашением