Упр.139 ГДЗ Макарычев Миндюк 9 класс (Алгебра)
Решение #1
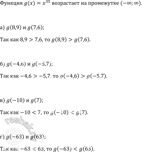
Решение #2
Решение #3

Рассмотрим вариант решения задания из учебника Макарычев, Миндюк, Нешков 9 класс, Просвещение:
139. Функция задана формулой g(х) = х35 Сравните:
a) g(8,9) и g(7,6); б) g(-4,6) и g(-5,7); в) g(-10) и g(7).
*размещая тексты в комментариях ниже, вы автоматически соглашаетесь с пользовательским соглашением