Упр.681 ГДЗ Макарычев Миндюк 9 класс (Алгебра)
Решение #1
Решение #2

Рассмотрим вариант решения задания из учебника Макарычев, Миндюк, Нешков 9 класс, Просвещение:
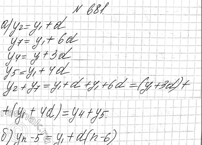
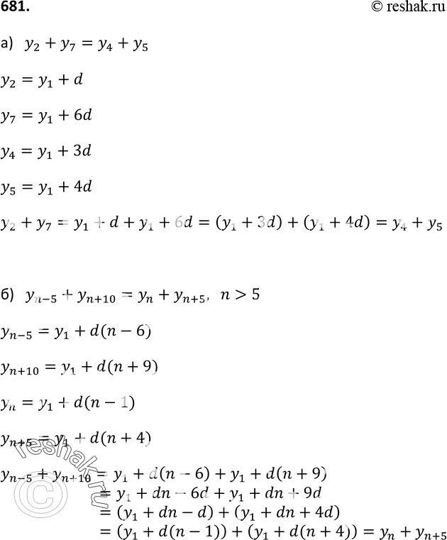
681. Докажите, что если (уn) — арифметическая прогрессия, то:
а) У2 + У7 = У*4+ У5;
б) Уn- 5 + Уn + 10 = Уn + Уn+ 5,где n > 5.
*размещая тексты в комментариях ниже, вы автоматически соглашаетесь с пользовательским соглашением