Упр.14.8 ГДЗ Мордкович 9 класс (Алгебра)
Решение #1
Решение #2

Рассмотрим вариант решения задания из учебника Мордкович 9 класс, Мнемозина:
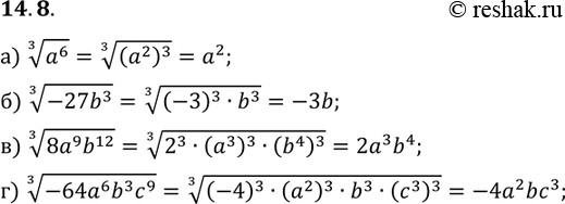
14.8. Упростите выражение:
а) корень 3 степени a6;
б) корень 3 степени -27b3;
в) корень 3 степени 8a9b12;
г) корень 3 степени -64a6b3c9.
*размещая тексты в комментариях ниже, вы автоматически соглашаетесь с пользовательским соглашением