Упр.15.13 ГДЗ Мордкович 9 класс (Алгебра)
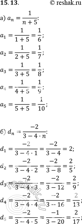
Решение #1
Решение #2

Рассмотрим вариант решения задания из учебника Мордкович 9 класс, Мнемозина:
15.13
*размещая тексты в комментариях ниже, вы автоматически соглашаетесь с пользовательским соглашением