Упр.17.26 ГДЗ Мордкович 9 класс (Алгебра)
Решение #1
Решение #2

Рассмотрим вариант решения задания из учебника Мордкович 9 класс, Мнемозина:
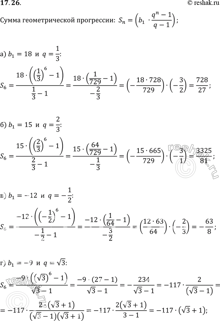
17.26. Найдите сумму первых шести членов геометрической прогрессии (bn), у которой:
а) b1=18,q=1/3;
б) b1=15,q=2/3;
в) b1=-12, q=-1/2;
г) b1=-9,q=-корень 3.
*размещая тексты в комментариях ниже, вы автоматически соглашаетесь с пользовательским соглашением