Упр.4.17 ГДЗ Мордкович 9 класс (Алгебра)
Решение #1
Решение #2

Рассмотрим вариант решения задания из учебника Мордкович 9 класс, Мнемозина:
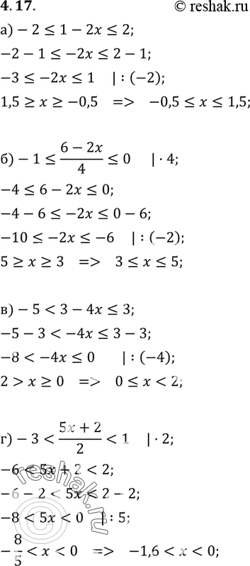
4.17 а) -2<=1-2x<=2;
б) -1 <= (6-2x)/4 <=0;
в) -5<3-4x<=3;
г) -3 < (5x+2)/2<1.
*размещая тексты в комментариях ниже, вы автоматически соглашаетесь с пользовательским соглашением