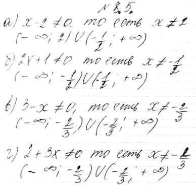
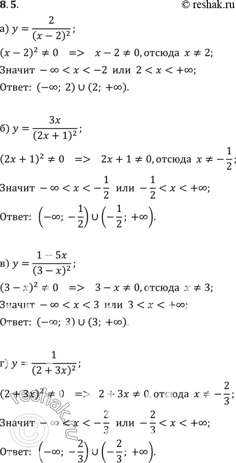
Упр.8.5 ГДЗ Мордкович 9 класс (Алгебра)
Решение #1
Решение #2

Рассмотрим вариант решения задания из учебника Мордкович 9 класс, Мнемозина:
8.5
*размещая тексты в комментариях ниже, вы автоматически соглашаетесь с пользовательским соглашением