Упр.10.1 ГДЗ Мордковича 11 класс профильный уровень (Алгебра)
Решение #1
Решение #2(записки учителя)
Решение #3(записки школьника)

Рассмотрим вариант решения задания из учебника Мордкович, Семенов 11 класс, Мнемозина:
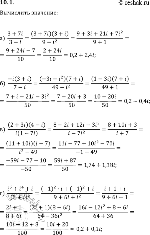
10.1 Вычислите:
а)(3+7i)/(3-i);
б)(-i(3+i))/(7-i);
в)((2+3i)(4-i))/(i(1-7i));
г)(i5+i4+i)/(3+i)2.
*размещая тексты в комментариях ниже, вы автоматически соглашаетесь с пользовательским соглашением