Упр.17.43 ГДЗ Мордковича 11 класс профильный уровень (Алгебра)
Решение #1
Решение #2(записки учителя)
Решение #3(записки школьника)

Рассмотрим вариант решения задания из учебника Мордкович, Семенов 11 класс, Мнемозина:
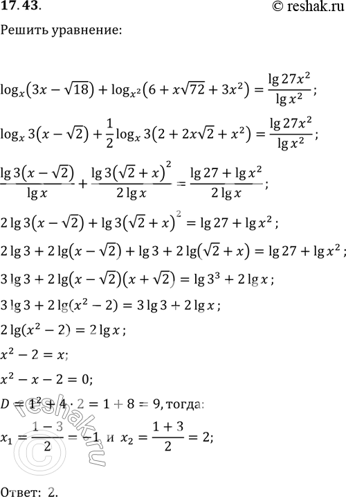
17.43 Решите уравнение:
logx(3x-корень 18)+logx2(6+x корень 72 + 3x2)=lg27(x2)/lgx2.
*размещая тексты в комментариях ниже, вы автоматически соглашаетесь с пользовательским соглашением