Упр.6.9 ГДЗ Мордковича 11 класс профильный уровень (Алгебра)
Решение #1
Решение #2(записки учителя)
Решение #3(записки школьника)

Рассмотрим вариант решения задания из учебника Мордкович, Семенов 11 класс, Мнемозина:
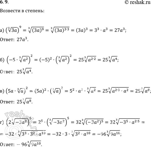
6.9
а) (корень 3 степени 3a)9;
б) (-5* корень 3 степени a2)2;
в) (5a* корень 3 степени a)2;
г) (2* корень 3 степени -3a2)5.
*размещая тексты в комментариях ниже, вы автоматически соглашаетесь с пользовательским соглашением