Упр.524 ГДЗ Дорофеев Суворова 9 класс (Алгебра)
Решение #1

Рассмотрим вариант решения задания из учебника Дорофеев, Суворова, Бунимович 9 класс, Просвещение:
Сократите дробь (524—526).
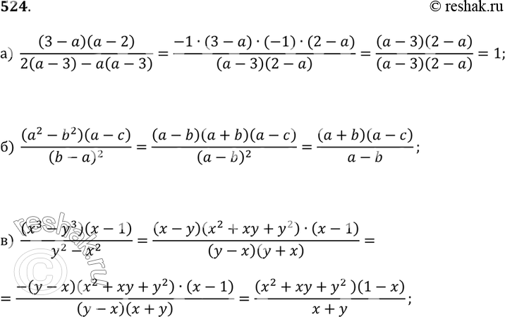
524.
а) ((3 - a)(a - 2))/(2(a - 3) - a(a - 3));
б) ((a^2 - b^2)(a - c))/(b - a)^2;
в) ((x^3 - y^3)(x - 1))/(y^2 - x^2).
*размещая тексты в комментариях ниже, вы автоматически соглашаетесь с пользовательским соглашением