Упр.1687 ГДЗ Лукашик 7-9 класс по физике (Физика)
Решение #1

Рассмотрим вариант решения задания из учебника Лукашик, Иванова 9 класс, Просвещение:
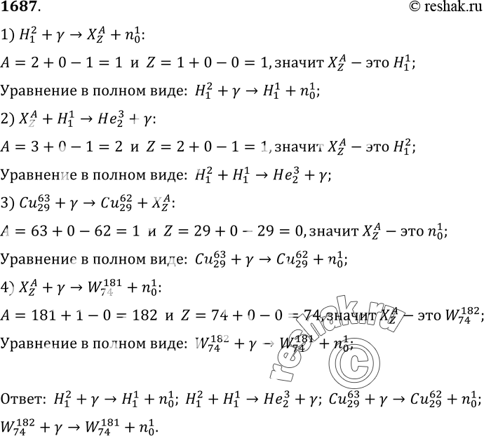
1687. Допишите недостающие обозначения:
H + y— X + n
Х + H — Не + у
Cu + y— Cu + X
X + y — W +n
*размещая тексты в комментариях ниже, вы автоматически соглашаетесь с пользовательским соглашением