Упр.17.4 ГДЗ Мордковича 11 класс профильный уровень (Алгебра)
Решение #1
Решение #2(записки учителя)

Рассмотрим вариант решения задания из учебника Мордкович, Семенов 11 класс, Мнемозина:
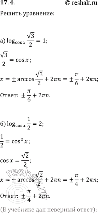
17.4. а) log cosx(корень 3/2) = 1; в) log sinx(1/2) = 1;
б) log cosx(1/2)= 2; г)log sinx(3/4) =2.
*размещая тексты в комментариях ниже, вы автоматически соглашаетесь с пользовательским соглашением