Упр.17.5 ГДЗ Мордковича 11 класс профильный уровень (Алгебра)
Решение #1
Решение #2(записки учителя)
Решение #3(записки школьника)

Рассмотрим вариант решения задания из учебника Мордкович, Семенов 11 класс, Мнемозина:
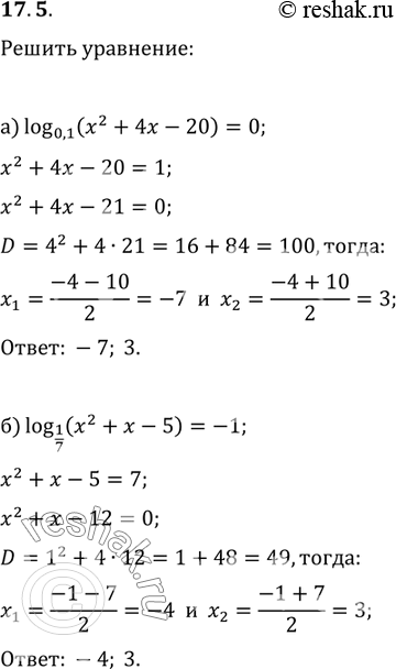
017.5. а) log 0,1 (x2 + 4x - 20) = 0;
б) log 1/7 (x2 + x - 5) = -1;
в) log7 (x2 - 12x + 36) = 0;
г) log1/3 (x2 + 3x - 1) = -2.
*размещая тексты в комментариях ниже, вы автоматически соглашаетесь с пользовательским соглашением